Головнамапа сайтуЗворотній зв'язок
укрeng
Індиго М'юзік
Головна»Інформація»Статті»Теорія та практика»

Його Величність Звук

Інформація
Есе про основи акустичного дизайну приміщень

Я далек от иллюзии, что чему-то можно и, главное, нужно кого-то учить. Но, видимо, так уж устроен человек, что ему обязательно надо все вокруг себя сначала объяснять, потом удивляться, затем уточнять (или опровергать) уже объясненное, затем снова удивляться чему-то, что опять не лезет в рамки, и.т.д. до бесконечности. И если для учения каких-то сложных теорий физики, химии или других дисциплин требуется помимо абстракций часто сложная прецизионная аппаратура, то вот в вопросах Звука мы уже располагаем чувствительным и довольно точным прибором, отшлифованным, а может данным, как сверхопыт, – слухом.

И еще об одном. Автор, несмотря на приличное образование и материалистическое (в вопросах, касающихся материального, впрочем) мировоззрение, весьма серьезно относится к постулату о Божественном происхождении Звука. Помните: «Вначале было Слово…». И это не дань моде, а вполне пережитой опыт. Более того, думаю, есть основания полагать, что огромный, не осознаваемый подавляющим большинством, потенциал Звука сокрыт. И доступен станет только после качественного скачка в развитии человечества, начиная с новой ступени общественной морали. И тогда многие сказочные страшилки станут вполне естественными логическими инструментами бытия (хотя, к месту сказать, некоторые и довольно опасные процедуры уже активно используются спецслужбами). А пока церковь выполняет свою миссию, охраняя сверхзнание от нас, несовершенных.

Но это – отдельная тема. А вообще-то изложение предназначено для тех, кому понятно, что ни один Звук не бывает «пустым» в специальных помещениях, предназначенных для качественного стерео либо домашнего кинотеатра. Ибо о них, специальных помещениях, и будет в основном идти речь. Хотя и в обычных помещениях людям все более хочется акустического комфорта, - хорошей защиты от шума, разборчивой речи и отсутствия т.н. акустических фантомов – отрицательных звуковых образов, формируемых некоторыми факторами окружающей нас техно- и антропогенной среды.
Но почему в помещениях специальных, спросите Вы? Разве нельзя получать удовольствие в обычных условиях, просто улучшая качество аппаратуры и носителя (винил, CD, кассета)? Можно. Но все познается в сравнении. Когда-то и катушечные деки и осыпающаяся после 10-й прокрутки пленка считались верхом совершенства. Теперь мы ждем от музыки или речи не только общего уровня децибел, понятия о стиле и жанре исполнителя. Мы хотим точного тембрального соответствия, нюансировки звучания, сравнения мастерства исполнения и качества воспроизведения. Зачем мы этого хотим? Мы ищем большой глубины эмоционального воздействия, стремимся к новым впечатлениям. А вдруг за этим стоит новое знание?

Можно ли добиться здесь большего, чем при прослушивании вживую? Ответ на этот вопрос неизбежно вызывает такие относительные понятия, как «лучше», «хуже», что субъективно, поскольку не опирается на какую-либо систему очевидных критериев или, уж тем более, нормативную базу. Однако, движение в этом направлении неизбежно, и обсуждать вопрос мы будем.

Хорошо известно положение, что плохое с точки зрения акустики помещение способно «убить» звучание любой аппаратуры. Приводятся даже оценки, что на долю искажений, вносимых комнатой прослушивания, приходится от 30% до 60%. Необходимо, все-таки, заметить, что не всегда волшебное превращение комнатной акустики будет Вам приятно. Уместно при этом сравнение: чем качественнее выполнен частичный ремонт квартиры, тем неприятнее впечатление от того, что осталось. Так же и со Звуком. После исправления комнатной акустики Вы наверняка разочаруетесь в качестве некоторых дисков и, возможно, переоцените в худшую сторону качество некоторых аппаратурных компонентов, включая колонки.

1. Его Величество Звук

Еще долгое время наши знания о Звуке будут всего лишь частью наших слуховых ощущений. Поэтому в описании реакции на Звук неизбежно возникают относительные элементы – сравнения, ассоциации, аллюзии. Мы будем пользоваться и хорошо известными из школы физическими определениями, такими, как, например, скорость звука, громкость, частота, фаза и модели волнового взаимодействия, а «проще» говоря, дифракция и интерференция.
Вообще изложение не претендует на трактат, книжка во многом интуитивна. Просто не хочется слишком серьезно говорить о серьезном.

1.1 Рациональное, или Что мы знаем о Звуке

Звук от колонки, или, выражаясь научным языком (чтобы нас не сочли за совсем уж дилетантов) источника звука, распространяется во все стороны неодинаково. Не обсуждая здесь различную природу этого явления, имеющую антропогенное происхождение, отметим, что неоднородность звукового излучения чаще всего такова, что максимальная порция излучается в полупространство в направлении слушателя. И если мы находимся в чистом поле, то Звук, не встречая препятствий, плавно затухает пропорционально квадрату расстояния от источника. Единственное, что слегка портит эту плавную идиллию – поверхность пола.

Важным фактором является скорость звука. Интересно, что её значение в природных условиях может сильно меняться, что связано с изменением температуры, атмосферного давления и влажности. Влияние последней довольно любопытно: известно, например, что при сильном тумане обычная речь становится слышимой на гораздо большем расстоянии (что не связано напрямую с изменением скорости звука).

Волновой характер распространения Звука приводит к чрезвычайно сложному его распределению внутри помещения. «Виной» тому три фактора: форма или геометрия помещения, состав материалов, из которого оно сделано, и объективное существование ряда познанных и ряда ещё не познанных процессов взаимодействия Звука с объектами живой и неживой материи, приводящих к образованию устойчивых и не очень акустических образований (акустических фантомов).
Упрощенное толкование такой схемы описания Звука внутри помещения выглядит так: есть два полюса, две модели, управляющие поведением Звука. Один – для НЧ выглядит как чисто волновой процесс сложения (интерференции) всех источников НЧ, приводящий к образованию трёхмерной картинки для каждой частоты подобно горному рельефу с чередующимися пиками и провалами громкости.

Второй – для ВЧ подобен корпускулярному излучению света с известными законами преломления, дифракции и отражения.
Общую картину дополняет смешение этих двух процессов для СЧ и, чтобы было не скучно, для всех трех процессов необходимо учитывать ещё и поглощение внутри различных материалов конструкций и отделки.

1.2 Иррациональное, - некоторые мелкие спекуляции автора на запретную тему

Роль звуков, а точнее их последовательностей наряду с созвучиями очень слабо изучена. А их воздействие между тем хорошо известно: определенным акустическим воздействием мозг может быть приведен в специальное, т.н. пограничное состояние, а затем, опять же определенной последовательностью звуков можно вызвать изменение функционального состояния всего организма. Не верите? Случаев «заговоров» не только одной зубной боли – предостаточно.

Так называемые харизматические проявления отдельных личностей нам всем хорошо знакомы. Однако, мало кто задумывается о существенно акустической стороне дела, об инстинктивном или приобретенном умении подобных лиц акустикой своей речи приводить толпу в экзальтированное состояние.

Вообще говоря, существует три уровня, три информационных потока в речевом общении. Первый уровень – довольно узкий, сигнальный, на котором обмениваются звуком высшие животные и человек (простые звуки, например, междометия). Второй уровень – более широкий, диалоговый, где воздействие идет в т.н. усредненном режиме. Другими словами, на первом и, еще больше, на втором уровне усиливается работа по приему и адаптации звука - переводу звукового воздействия на язык образов и рефлексов, чтобы добиться максимального взаимопонимания. Третий уровень, ширины его мы не знаем, - уровень высших воздействий. И, скорее всего, видна здесь только вершина айсберга. На этом уровне работа принимающего по адаптации звука в информативный поток уже не требуется. Воздействие идет непосредственно на мозг.

Феномен музыки в значительной степени ( в какой именно – тайна) относится именно к третьему.

1.3 Что знать надо

Здесь автор хотел бы сначала поговорить на тему деления частотного диапазона. Начинать нужно с условной верхней границы высоких частот или ВВЧ (высокие высокие частоты) – примерно 16 – 18 кГц. На практике звуки таких частот обычно слышны как «сип», в отличие от «шипения» НВЧ (низкие высокие частоты) – около 8000 Гц. Избыток ВЧ проявляется обычно в резких, неприятных, металлического оттенка скрипичных партиях, навязчивых тарелках хета, с трудом переносимых челесте и ксилофоне. Если такой эффект сопровождается и высоким уровнем реверберации в данном диапазоне, то симфонический оркестр становится просто невозможным, а игра на щеточках тон-барабана превращается в пытку.
Недостаток ВЧ - также весьма неприятное явление. Звук теряет пространственную глубину, появляется ощущение «ваты в ушах». Отсутствие звукового «флёра» или, как ещё говорят, «воздуха» придает музыке элемент «искусственности», схоластики. Джаз теряет теплоту, интимность; концертные записи теряют ощущение зала; женский вокал становится «холодным» и «глухим».

Отдельный вопрос – флаттер или «порхающее эхо» (как-то, к слову, вспомнилось, что моя тётя Люся, когда-то оперная прима в Свердловске, шутя, называла своего мужа Марка «пархающим» за танцующий шаг). Оба названия довольно условны, но отражают ощущение такого эффекта на слух. Флаттер в авиации означает вибрацию, дрожание несущих плоскостей – явление, грозящее разрушением самолету. В помещении иногда можно услышать, как любой отрывистый, резкий звук (хлопок, падение предмета) вдруг приобретает «дрожащий» хвост с металлическим оттенком. Такой эффект хорошо заметен в не отделанных пустых помещениях и представляет собой плотно упакованный набор волн в виде трехмерного веретена, мечущегося между двумя параллельными твердыми плоскостями. Это является примером типичного акустического фантома и при известном воображении может дать повод фантазиям о привидениях (впрочем, таким ли уж и фантазиям?) в гулких комнатах пустых замков. Известны случаи, когда некоторое, физическое воздействие внутри помещения вызывало ответное акустическое. Существует легенда, согласно которой при перестройке храма Иоанна Воина, что на Якиманке, при вскрытии одной из стен ризницы присутствовавшие рабочие и духовные служители ясно услышали после удара, пробившего пустоту внутри стены слово «Отче».

Но вернемся к флаттеру. Итак, для его проявления необходимо иметь пару параллельных стен из хорошо отражающего материала. К примеру, бетон – подойдет. Годится и толстое стекло, и камень, и кафель. Важно и расстояние между плоскостями. В туалете 1х1 м флаттер вы и не услышите вовсе. Как же его добиться или, что по-моему важнее, НЕ? Мы поговорим об этом в другой главе. А сейчас пойдем ниже по частотной шкале.

Средние частоты – СЧ есть важнейший информационный канал. В диапазоне (согласно принципу нашего деления по умолчанию НСЧ – ССЧ – ВСЧ) 200 – 8000 Гц сосредоточено основное тональное звучание человеческого голоса, звуков живой природы (с человеческой, естественно, точки зрения) и музыкальных инструментов, за некоторым исключением. Понятно, что к качеству передач по такому каналу предъявляются особые требования. Разборчивость речи или качество артикуляции должно быть таким, чтобы отчетливо понимать даже шепот.

Звуки музыки также не должны наезжать друг на друга. Конец звучания при быстром повторе одного звука не должен сливаться с началом следующего. Часто под этим понимается быстрота нарастания звука или звуковая атака. Однако, нехорошо, если атака идеальна, т.е. мгновенна. В этом случае Звук становится агрессивным, резким, теряется ощущение пространства, объемности музыки. Очевидно, что оптимум лежит между двумя крайностями.

СЧ - диапазон гораздо более сложен для изучения, чем диапазон ВЧ. Почему? Потому, что значения границ СЧ –диапазона отличаются друг от друга в 40 раз! И на границах этого диапазона царствует различная по своему характеру физика.

С диапазоном НЧ (20 – 200 Гц) чуточку в этом смысле полегче. Стоит отметить, что своей любовью к музыке человек почти целиком обязан басам. Благодаря уникальной способности баса полностью заполнять собой пространство так, что мы с трудом можем (а иногда и не можем вовсе) локализовать источник НЧ, мы слушаем музыку СЧ и ВЧ в «бульоне» низкочастотного фона, что наделяет, например, рок-музыку силой магического воздействия.

Поведение НЧ -волн очень капризно. Они не замечают маленьких препятствий (если их размеры много меньше длины волны), но стоит им встретить что-нибудь стоящее (хм…) или лежащее подходящего размера и плотности, - все жутко усложняется. Волны многократно накладываются, возникает интерференционная картина, сильно зависящая от взаимного расположения источника звука и препятствия. Естественно, чем больше источников звука и препятствий, тем картина еще сложнее.

Специально можно выделить проблему резонансов. Это когда небольшое воздействие вызывает непропорционально больший ответ. Примеров тому предостаточно. Упомянем хотя бы все музыкальные инструменты, построенные по принципу резонансного извлечения звука. В церковной акустике известно с давних времен применение «голосников» - керамических кувшинов, вмурованных в стены для придания масштабности звучания хорам. Гельмгольц впервые исследовал физику этого явления, дав обоснование применения целого класса акустических резонаторов своего имени. Один из замечательных примеров применения резонаторов Гельмгольца каждый из Вас, кто летал на самолетах, слышал. Это – похожие на аккордеон или орган звуки в среднем регистре. Возникают они, как остаточное явление, от гашения мощных резонансов гудящих реактивных двигателей.

1.4 Что знать не надо

Эта глава написана для тех, кто хочет знать немного более о физических процессах распространения звука. В частности, изложение пока не касалось временных характеристик. Характерное время движения звуковой волны легко оценить. Если предположить, что примерное расстояние, интересующее нас, определяется небольшими размерами помещения с максимальным измерением, скажем, по длине 6-8 метров, то характерное время движения составит величину, равную отношению длины к скорости звука в воздухе. Если скорость равна, примерно, 340 м/сек, то время составит примерно 0, 025 сек или 25 мс. Таким образом, непосредственный звук из колонки попадает в ухо с характерным запаздыванием от единиц до десятков миллисекунд, что важно для понимания того, как мы слушаем звук. Процесс того, как мы слушаем звук, делится на физическую и физиологическую составляющие. Мы выделим некоторые принципиальные особенности слухового восприятия, точнее, ряд эффектов, категорически влияющих на нашу оценку звучания.

Во-первых, это неодинаковая чувствительность нашего уха к различным частотам для разного звукового давления или громкости. Эта зависимость носит «корытообразный» характер с впадиной в районе средних частот, причем глубина «корыта» уменьшается с увеличением громкости. Этой особенностью объясняется наше нервное отношение к недостатку низких и высоких частот при прослушивании – наше ухо менее чувствительно к ним.

Во-вторых, это эффект маскировки вышестоящих частот – нижестоящими, причем значимость этого эффекта сильно возрастает для диапазона НЧ. Известна даже величина порога, начиная с которого маскирующий эффект проявляется – примерно 13-15 дБ разности по громкости между двумя одновременными звуками.

В третьих, это «мертвое время» срабатывания слуховых рецепторов, т.н. временное разрешение нашего слуха, равное около 2 мс. Это означает, что два одинаковых по частоте звука, разнесенных по времени на величину менее 2 мс мы уже не различаем. Здесь надо отметить, что данную величину не надо путать с т.н. интегрирующей способностью нашего уха, когда мы слитно воспринимаем сумму звуков, складывая их амплитуды. Это характерное время оценивается разными авторами по-разному, но находится в диапазоне до 50 мс.

В четвертых, это бинауральность, или способность ушей локализовать источник звука или звуковой фантом в пространстве. Причем, временное разрешение составляет величину не менее 0,3 – 0,5 мс (что, в общем-то, определяется расстоянием между ушами).

В пятых, неодинаковая наша слуховая чувствительность к консонансам и диссонансам. В этом смысле, очень показательно выражение «режет слух» - ощущение, невыносимое для персон, имеющих абсолютный музыкальный слух.

В шестых, с некоторой натяжкой можно отнести к слуховому восприятию наше ощущение инфрабаса, - таких частот ННЧ, которые передаются ощущениями вибрации тела.

Список этот далеко не полон. Ученые постоянно раздвигают границы познания.

2. Человек внутри коробки

Вообще понятие «помещение» или «дом» - это отдельная тема. Люди почему-то, придавая огромное значение световой и цветовой структуре внутри дома, на которую дом имеет опосредованное влияние, забывают напрочь, или не знают, что дом категорически «программирует» нашу акустическую среду, задавая вполне конкретную акустическую реакцию на звуковое возбуждение в любой точке внутри дома. А эта реакция может иметь и негативный характер: я помню, как в детстве на даче у бабушки проснулся ночью от жуткого скрежета, доносящегося из угла мансарды. Паника была изрядной, а это был всего лишь майский жук, свалившийся ночью в спичечном коробке с полки.

2.1 Кое-что о привычке мыть уши

Наши уши есть источник нашего настроения. Вы не замечали разницы в смене осеннего и зимнего настроения, когда густой мягкий снег, укрывая землю, приглушает резкие порывы осенней погоды, и звуки вокруг уютно смягчаются, или наоборот, когда яркие весенние звуки вдруг взрывают сонную тишину зимней дрёмы? И не является ли, например, провинциальная размеренность следствием и не агрессивности акустической среды в малых городах?
Иное дело – акустическая среда внутри дома. Нам пока слишком мало известно об её влиянии (а оно существует!)на здоровье, интеллект и мировоззрение человека.

2.2 Помещение: враг или друг?

Взаимодействие звука с помещением многогранно. Звук имеет высокую проникающую способность, испытывает множество отражений, накладываясь друг на друга, поглощается и рассеивается всеми окружающими человека предметами и самим человеком. Чтобы говорить на одном языке в вопросах оценки степени гулкости звука, акустики договорились считать за параметр время, необходимое звуку для затухания на 60 дБ по отношению к первоначальному для данной частоты. И назвали его RT 60.

Критическое значение имеет положение источников звука, критическое значение имеет и выбор места прослушивания, поскольку значения RT 60, измеренные в различных местах помещения будут разными. Причем особенно заботить нас будут такие области, где значения RT 60 будут резко отличаться. Что же это за области? Проиллюстрируем следующим примером:
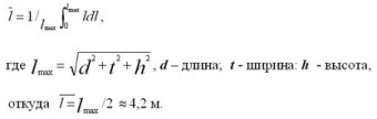
-пусть помещение представляет собой коробку 3х5х6 м. Можно оценить среднюю длину свободного пробега звукового луча (для диапазона ССЧ – ВВЧ) между двумя случайными столкновениями со стенами:

Это означает, что для RT 60 равного около 500 мс звуковой луч пройдет путь примерно равный 150 м и испытает при этом в среднем 35 отражений от стен.

В качестве модели была выбрана «зеркальная» по звуку комната с известными размерами и расположением источника звука в 1 м от каждой поверхности. Интересовали нас «сгущения» и «разрежения» всех пересечений в пространстве для сферы радиусом в 30 см (что примерно соответствует объему головы) вдоль осей (точнее плоскостей) площадной симметрии.
Оказалось, что в приближении 35-й кратности отражений, самые сгущенные (а значит, области максимальных искажений) и разреженные (а значит, области минимальных искажений) располагаются, примерно, как показано на рисунке (0 – разрежения, Х – сгущения):

Изменение размеров помещения не приводит к принципиальным изменениям расположения пятен, чего нельзя сказать о форме или месте размещения источника звука.

Однако, не следует думать, что влияние «коробки» помещения столь аддитивно. Особую роль играет вклад первых отражений от поверхностей. Здесь мы подходим к изложению фундаментального принципа акустического дизайна малых помещений.

Формирование акустической среды больших помещений, в частности, театральной акустики, в отсутствие звукоусиления следовало по пути кропотливого подбора и концентрации звука архитектурными методами. Ярчайшим примером является церковная акустика – настоящий учебник, где представлен практически весь арсенал древнейших акустических приемов.

Таким образом, внутри таких помещений формировались ярко выраженные две или три достаточно однородные по составу звука зоны, разделенные по принципу: «исполнители – слушатели». Временные процессы, определяющие формирование звука, имеют характерные значения, начиная с 50 мс, основными задачами являлось: подавление значительной реверберации в речевом диапазоне для получения приемлемой ясности речи – артикуляции; ликвидация эха в более высоком частотном диапазоне; усиление и направление звука архитектурными приемами в зону слушателей.

Увлечение звукоусилительной техникой в значительной степени привело к забвению накопленного опыта архитектурной акустики. Формирование звуковой среды в больших помещениях свелось к получению некоторого подобия камеры полного поглощения с определенным размещением сети источников звука, согласованных по временным задержкам. Получение такого подобия равномерного и однородного или, как говорят, «диффузного» поля внутри малых помещений и сейчас считается некоторыми акустиками образцом для подражания.

Однако, существует некоторая группа исследователей, которая полагает, что внутри помещения объемом, не превышающим 150 куб.м, создать диффузное поле в любой точке и во всем частотном диапазоне принципиально невозможно. Но, считают они, этого можно добиться внутри некоторой зоны, за размеры которой необходимо бороться. Последнее и составляет фундаментальный принцип акустического дизайна малых помещений домашнего кинотеатра и комнат критического прослушивания.

Малое помещение, помимо влияния отражений, привносит в ощущения звука важнейшую составляющую – интимность, существованием которой мы обязаны басам.

Степень насыщенности помещения басами определяется количеством одинаковых по громкости возбужденных параллельными стенами частот и их мод (звуковых волн с длинами, кратными основной), часто не вполне корректно называемых комнатными резонансами. Чем плотность таких частот в диапазоне НЧ выше и равномернее, тем помещение «басовитее».

В то же время следует помнить, что чрезмерное увлечение басом имеет и отрицательную сторону, поскольку маскирует основным тоном и сложением мод звуки более высоких частот, снижая нашу чувствительность к распознаванию тонких музыкальных нюансов, что особенно характерно для симфонической музыки.

С другой стороны, помещение способно «убить» бас. Такого замечательного результата можно добиться полной непараллельностью поверхностей в помещении. В этом случае бас можно спасти лишь мощным, а значит, дорогим сабвуфером со встроенным или отдельным бас-эквалайзером. Поэтому при проектировании должна быть заложена максимально возможная свобода позиционирования всех источников НЧ, а особенно – сабвуфера, поскольку положение сабвуфера является параметром, критически влияющим на звук НЧ.

Обобщая, можно сделать следующие выводы:

  • в любом помещении существуют более или менее благоприятные зоны прослушивания;
  • на распределение благоприятных и неблагоприятных зон оказывают категорическое влияние форма помещения и места расположения источников звука;
  • помещение способно как «обеднить», так и «обогатить» бас.

Следствие: для любого помещения (объемом - до 150 куб.м) при каждом конкретном расположении источников звука существует единственно лучшее место прослушивания.

Компромисс между этим Следствием, бюджетом, эстетикой и эргономикой является задачей акустического дизайна.
2.3 Пара фраз о «железе».

Не следует заниматься самодеятельностью в вопросе выбора компонентов системы. Во-первых потому, что отбор компонентов можно вести только в хорошо акустически настроенном помещении. Во-вторых, многие компоненты даже внутри одного известного «бренда» плохо «дружат» между собой. Лучший результат получается, как ни странно, при объединении усилий разных изготовителей. И, наконец, в-третьих, разные компоненты играют по-разному разную музыку.

Проще говоря, комплектовать систему надо с ориентацией на определенный жанр музыки, которой вы отдаете предпочтение. А это может сделать только хороший аудио-дизайнер, а не продавец обычного магазина.

3. Замысел

Принимаясь за трудное дело акустического дизайна, надо представлять себе конечный результат. Акустический прогноз есть сплав опыта и знаний. И складывается он из форм конструкций помещения, акустического баланса финишной отделки, акустического тюнинга – применения отдельных акустических элементов и т.н. Технического задания Заказчика, проще говоря, направления его музыкальных пристрастий.

3.1 Еще раз о тембре, или какие звуки мы любим

Сразу оговорюсь, что Разные Мы любим разную музыку. Что не означает, впрочем, что Разные Мы не можем полюбить одну и ту же музыку. И наибольшее эмоциональное и интеллектуальное воздействие имеет живое исполнение (хотя, боюсь, не все согласятся со мной). Так или иначе, но в любом случае мы слушаем очень разную музыку, даже если это одно и то же музыкальное произведение, записанное в одной и той же студии пусть и одним и тем же звукорежиссером. Во-первых потому, что слушать мы можем совсем в другом месте, а значит, по-другому будет звучать помещение; во-вторых потому, что исполнители могут по-другому играть, на других инструментах, у дирижера может быть насморк или это уже совсем другой дирижер или оркестр. Как мы видим, в цепочке Исполнение - Звукозапись - Прослушивание столько факторов, категорически влияющих на звук, что говорить о чем-либо идентичном даже для отдельного звена весьма проблематично.
Надо сказать, что последний тезис очень ловко используют многие деятели российской «попсы». Поэтому в потоках дешевой звуковой российской грязи, льющейся в уши, редко можно заметить ручеек чистого искусства, ибо это требует большой и серьезной работы над исходным материалом – темой, аранжировкой, инструментовкой, текстом, и прослеживания по всей звуковой цепочке вплоть до выхода серийного CD. Хотя, справедливости ради надо отметить, что так называемый «феномен русского рока», состоящий, проще говоря, в примате текста над музыкой, представляет собой диссонирующие созвучия фонетики русского языка и тембральных законов ритм-энд-блюза. Вот, в частности, одна из причин того, что ни один представитель «русского рока» или «попсы» никогда не станет мировой звездой (в отличие от национальных направлений в музыке).

В работе со звуком редко можно встретить специалиста, имеющего дар тембральной гармонии. Безусловно, этим даром обладали все выдающиеся композиторы. Умением поиграть тембрами всего арсенала музыкальных инструментов, отдельных предметов и человеческих голосов наделены редкие люди. Являясь проводниками между иррациональным в звуке и остальным человечеством, они способны донести нам то тембральное своеобразие, которое является источником нашего эмоционального и интеллектуального наслаждения настоящей музыкой. И помещение, как последний элемент, способно или усилить или ослабить величину такого впечатления.

Однако, этого мало. Тщательнейшая работа по всей цепочке, как результат творческих усилий одаренных людей, может быть сведена «на нет» низкой культурой восприятия музыки, которую некоторые до сих пор считают атрибутом исключительно пьяного застолья. Культура исполнения и культура восприятия музыки требуют известного обучения и самообразования. Это единственный путь правильной оценки музыкального произведения и исполнителя. Это единственный путь признания авторских прав.

3.2 Есть ли смысл говорить о жанре?

В работе акустического дизайнера не последнее место занимает выяснение жанровых предпочтений слушателя. Зачем это делается? Для акустического прогноза результатов проектирования. И важнейшую роль в этом играет акустический баланс.
Акустический баланс помещения – весьма условное понятие. Обычно оно означает заданные пропорции поглощения и отражения энергии звука для любой частоты при заданном времени реверберации RT 60. В музыкальном отношении это то, как помещение «играет». А «играть» оно может по-разному в зависимости от конструкции и отделки. Возможность поэкспериментировать соотношением поглощение/отражение в принципе отсутствует, ибо это связано со значительной перестройкой помещения, поэтому дизайнер вынужден обращаться к опыту или брать за основу некоторые псевдостандарты, задавая музыкальную направленность «игры». В нижеследующей таблице сделана попытка обобщения имеющегося опыта и экспертных оценок.

Таблица отношений поглощения к отражению звука, %

Диапазон

Симфоническая/оркестровая

Джаз

Рок

Остальное

НЧ

50/50 (600-800)

30/70 (1200)

20/80 (1500)

40/60 (1000)

СЧ

70/30 (400 –450)

70/30 (450)

60/40 (500)

60/40 (500)

ВЧ

30/70 (550-600)

50/50 (500)

40/60 (500)

40/60 (500)

Точность указанных значений невелика. И, к сожалению, результаты не учитывают влияния объема и формы помещения, а оно существует. Но в целом, тенденция понятна. Действительно, для рок-музыки чрезвычайно важен мощный бас, хорошая артикуляция и приглушенное звучание наверху. Для симфомузыки не нужно «обволакивающего» баса, здесь важна нюансировка, прозрачность середины и звонкость высоких, дающих ощущение зала.

Чем же достигается тот или иной результат? Работой над конструкцией и отделкой. Важно понимать, что в природе не существует специальных акустических материалов. Все материалы акустические, все они реагируют на звук. Существуют специальные акустические элементы, разработанные учеными для определенных целей и применяемые в определенных местах помещения.

В скобках указано балансное значение реверберации по RT 60. Добиться его можно, зная коэффициенты поглощения применяемых материалов и площадь такого покрытия. Наибольшую трудность представляет управление балансом для СЧ. Здесь необходимо оперировать массивными поглотителями (базальтовое волокно или стекловата) из-за большой проникающей способности звука в НСЧ диапазоне.

3.3 Набор «юного акустика»

Временная структура звукового сигнала складывается из «прямого», приходящего непосредственно в ухо с некоторой временной задержкой, и отраженного, в виде звукового следа, затухающего во времени. Затухание отраженного сигнала представляет наибольший интерес, ибо содержит информацию об искажениях, вызванных взаимодействием со стенами, полом и потолком помещения, а так же фурнитурой. В наиболее общем виде затухание происходит по экспоненциальному закону, причем первое отражение дает в целом не менее 20% вклада в общую сумму отражений. Следовательно, подавление первых отражений в диапазоне СЧ должно приводить к улучшению артикуляции в зоне прослушивания. Что понимать под «подавлением»? Ответ не так прост, как кажется. Дело в том, что поглощение первых отражений в диапазоне ВЧ не всегда улучшает качество звука в соответствии с жанром Заказчика. Обеднение ВЧ диапазона отрицательно сказывается на ощущениях слушателя для симфомузыки, «живых» концертов. В этом случае иногда полезно «уводить» первые отражения из зоны прослушивания, не меняя тем самым соотношение поглощение/отражение, а иногда следует «добавить» отражения высоких в зону, особенно в тех случаях, когда помещение «переглушено». Для всего вышеописанного, следовательно, необходимо располагать материалом достаточной площади для перекрытия пучка первых отражений (при характерных размерах помещения в 3-6 м и данной диаграммы направленности) от источников звука. Материал должен обладать свойством эффективного поглощения звука в СЧ диапазоне, вариативностью покрытия для манипуляции отражениями в ВЧ диапазоне и быть гибким с точки зрения дизайнерских цветовых и фурнитурных решений, короче говоря, не портить общий дизайн помещения. Такими свойствами, например, обладает панель Бекеши, разрез которой приведен на рисунке.

В общем, конструкция представляет собой деревянную рамку глубиной 100-120 мм, висящую или встроенную в стену в нужном месте, заполненную базальтовым волокном плотности 50-100 кг/куб.м на глубину в 8-10 см и закрытую с внешней стороны наглухо PVC мембраной плотности 250 – 400 г/кв.м с характеристиками натяжения, подобными устройству натяжного покрытия Barrisol. Конструкция, помимо уже заявленных качеств, имеет и собственную частоту в диапазоне 28 – 42 Гц с низкой добротностью пика поглощения. Покрытие мембраны можно варьировать как по качеству (замша, матовые, глянцевые), так и по цвету в весьма широкой гамме. Натяжение мембраны является одним из важных параметров, категорически меняющих звуковые свойства (см. Труды конференции РАО за 2003 г. в МГУ в одной из статей Д.З.Лопашова).

Таким образом, панель Бекеши представляет собой комбинированный акустический элемент для эффективной работы с первыми отражениями, общим уровнем реверберации и, в меньшей степени, гулкости по НЧ.

Нередко при составлении акустического прогноза и расчетах баланса требуется не только поглощать и отражать, но и эффективно рассеивать падающие на элемент акустические волны. Архитекторы древности успешно решали задачи рассеяния звука волнорезами эффективных геометрических размеров и плотности. В частности, такую задачу решали колонны, портики, анфилады сообщающихся помещений. Замечательное славянское изобретение – бревенчатая изба представляет собой изящное акустическое решение – в таком помещении никогда не будет флаттера, а по характеристикам в СЧ поле приближается к диффузному. Вообще-то рассеяние цилиндрической поверхностью звуковых волн – классическая задача Теории Акустики. В нашем случае важно только правильно подобрать радиус и материал полуцилиндра. С радиусом более-менее ясно (спасибо предкам), он должен иметь размер не менее ? длины рассеиваемой(мых) волн(ы) речевого диапазона, что составляет величину порядка 80 – 160 мм. Материал же, из которого возможно изготовить такой рассеиватель-дифрактор, следует выбирать в соответствии с жанровой задачей. Неплохих результатов удавалось добиваться, применяя картонные навивные трубы с заполнением минватой или базальтом нужной плотности и необходимым поглощающим, отражающим либо рассеивающим покрытием, хотя, пожалуй, лучшие результаты были получены с применением полуцилиндров из акустического пенолита (Macrophon).<

¬се статьи раздела ЂТеорія та практикаї
Наш анонс
Повністю професійний суперкардіоїдний вокальний мікрофон, що забезпечує гладке, природне звучання
Sennheiser E 945
Повністю професійний суперкардіоїдний вокальний мікрофон, що забезпечує гладке, природне звучання
© 2005–2026 Компанія «Індиго М'юзік»